التكامل في الرياضيات Pdf

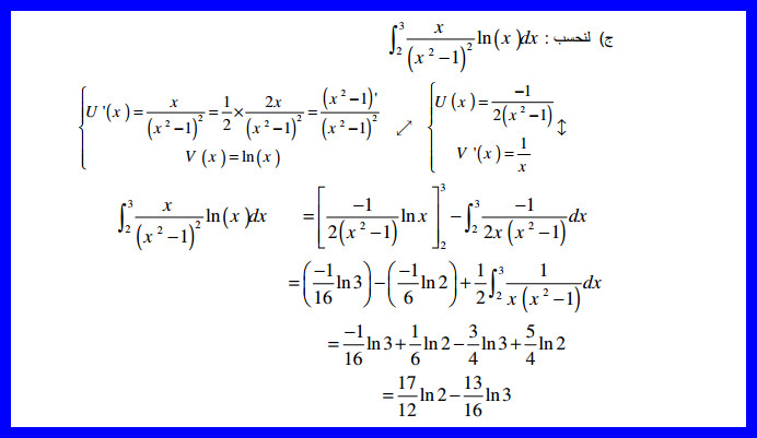
حلول تمارين التكامل

حلول تمارين التكامل

تحميل قوانين التكامل مع أمثلة محلولة Pdf

تحميل قوانين التكامل مع أمثلة محلولة Pdf

تحميل كتاب موسوعة قوانين التكامل Pdf مكتبة نور لتحميل الكتب الإلكترونية

تحميل كتاب موسوعة قوانين التكامل Pdf مكتبة نور لتحميل الكتب الإلكترونية

حلول تمارين التكامل

حلول تمارين التكامل

تحميل كتاب حساب التكامل Pdf Pdf Books Math Books Calculus

تحميل كتاب حساب التكامل Pdf Pdf Books Math Books Calculus

كتاب Pdf التكامل في الرياضات

كتاب Pdf التكامل في الرياضات

كتاب Pdf التكامل في الرياضات

قوانين حساب التفاضل والتكامل

قوانين حساب التفاضل والتكامل

تحميل كتاب النهايات والتفاضل والتكامل وتطبيقاتهما رياضيات تخصصية Pdf Mathematics Pdf Map Screenshot

تحميل كتاب النهايات والتفاضل والتكامل وتطبيقاتهما رياضيات تخصصية Pdf Mathematics Pdf Map Screenshot

موسوعة قوانين التكامل زوارق يحي

موسوعة قوانين التكامل زوارق يحي

الرياضيات المتكاملة ملخص بعض قواعد الاشتقاق والتكامل للصف الثاني عشر ملفاتي

الرياضيات المتكاملة ملخص بعض قواعد الاشتقاق والتكامل للصف الثاني عشر ملفاتي

الرياضيات المتكاملة ورقة عمل طرائق التكامل للصف الثاني عشر متقدم ملفاتي

الرياضيات المتكاملة ورقة عمل طرائق التكامل للصف الثاني عشر متقدم ملفاتي

تمارين وحلول درس حساب التكامل للبكالوريا عالم الرياضيات

تمارين وحلول درس حساب التكامل للبكالوريا عالم الرياضيات

U0645 U0644 U0632 U0645 U0629 U0631 U064a U0627 U0636 U064a U0627 U062a 5 U0627 U0644 U062a U0643 U0627 U0645 U0644 Pdf U202b U202agrade12files U202c U202c U202b U0627 U0644 U062b U0627 U0646 U064a U0639 U0634 U0631 U0645 U062a U0642 U062f

U0645 U0644 U0632 U0645 U0629 U0631 U064a U0627 U0636 U064a U0627 U062a 5 U0627 U0644 U062a U0643 U0627 U0645 U0644 Pdf U202b U202agrade12files U202c U202c U202b U0627 U0644 U062b U0627 U0646 U064a U0639 U0634 U0631 U0645 U062a U0642 U062f

تنزيل كتاب الرياضيات المتقدمة Pdf مدخل إلى التفاضل والتكامل

تنزيل كتاب الرياضيات المتقدمة Pdf مدخل إلى التفاضل والتكامل

درس التكامل الثانية سلك الباكالوريا علوم رياضية البستان

درس التكامل الثانية سلك الباكالوريا علوم رياضية البستان

تحميل كتاب التكامل وتطبيقاته Pdf عالم الرياضيات

تحميل كتاب التكامل وتطبيقاته Pdf عالم الرياضيات

كتاب الحسبان 1 Pdf برابط مباشر مكتبة الفريد الإلكترونية

كتاب الحسبان 1 Pdf برابط مباشر مكتبة الفريد الإلكترونية

قوانين الاشتقاق و التكامل Pdf Grade12files قواعد االشتقاق Course Hero

قوانين الاشتقاق و التكامل Pdf Grade12files قواعد االشتقاق Course Hero

ملخص مفصل عن الدوال الأصلية و الحساب التكاملي الرياضي المبرمج

ملخص مفصل عن الدوال الأصلية و الحساب التكاملي الرياضي المبرمج

تحميل 410 مسألة محلولة في التكامل Pdf مكتبة الفريد الإلكترونية Math Nasa Save

تحميل 410 مسألة محلولة في التكامل Pdf مكتبة الفريد الإلكترونية Math Nasa Save

Source : pinterest.com